Actualizaciones en el diagnóstico de la Artritis Reumatoide (Anti-MCV)

M. en C. Oscar Aguiar Serrano. Instituto LICON, México

Introducción

 

La artritis reumatoide (AR) es una enfermedad autoinmune sistémica del tejido conectivo que afecta aproximadamente el 0.5-1% de la población, se caracteriza por daño a la membrana sinovial de las articulaciones, destrucción progresiva del cartílago y destrucción del hueso principalmente en las articulaciones pequeñas de manos y pies; sin embargo, al ser una enfermedad sistémica se pueden afectar otros órganos causando distintas complicaciones como: enfermedades cardiovasculares, afectación pulmonar, osteoporosis, entre otras complicaciones. El diagnóstico temprano y el tratamiento son fundamentales para controlar la actividad de la enfermedad y así evitar complicaciones graves futuras, ya que una vez que estas aparecen no es posible revertir el daño, lo cual, impactará de manera importante la calidad de vida de los pacientes. El diagnóstico de la AR lo realiza el médico tomando en cuenta los signos y síntomas clínicos del paciente, estudios de imagen, pruebas de laboratorio y la presencia de autoanticuerpos 1.

Autoanticuerpos Antiproteínas Citrulinadas (ACPA), una breve historia

 

El Factor Reumatoide (FR) fue el primer autoanticuerpo descrito en AR y aunque actualmente tiene una gran importancia diagnóstica no es específico de esta enfermedad, ya que también puede estar presente en otras enfermedades autoinmunes del tejido conectivo y en enfermedades infecciosas3. Debido a esto, se comenzó con la búsqueda de nuevos autoanticuerpos específicos que apoyaran el diagnóstico de la AR, así en 1964 Nienhuis y colaboradores descubrieron los Autoanticuerpos Anti-factor Perinuclear (AFP), los cuales, identificaron un antígeno desconocido localizado dentro de los gránulos queratohialinos de células de mucosa bucal. Se encontró que estos autoanticuerpos son muy específicos de AR, sin embargo, no fueron utilizados de forma rutinaria debido a que se requieren ciertas células diferenciadas de la mucosa bucal y se necesita un técnico de laboratorio especializado para realizar e interpretar la prueba4. 

 

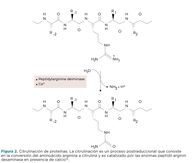
Quince años después en 1979 Young y colaboradores describieron los Anticuerpos Anti-Keratina (AKA), que se demostraría reconocen una proteína asociada a filamentos intermedios llamada filagrina, la cual, se expresa de forma inmadura como profilagrina. Un estudio posterior demostraría que los autoanticuerpos AFP y AKA reconocen a la filagrina pero no a su forma inmadura la profilagrina, este hallazgo llevó a la hipótesis de que una modificación presente en la filagrina y ausente en la profilagrina, era requerida para el reconocimiento de los anticuerpos en AR; en ese tiempo la modificación postraduccional más conocida de la filagrina era la citrulinación, la cual,  consiste en la desaminación enzimática del aminoácido arginina por la enzima peptidilarginin deaminasa5,6,7.

 

Derivado de estos estudios, se desarrollaron ELISAS que utilizaron como antígenos filagrina extraída de epidermis humana, sin embargo, estas pruebas no mostraron una adecuada estandarización y por ello tampoco fueron utilizadas para detectar autoanticuerpos específicos en AR8. En 1998 se demostró que la citrulinación es fundamental para el reconocimiento de los autoanticuerpos presentes en el suero de pacientes con AR, en este estudio los autores desarrollaron un ELISA que utilizó como antígeno pequeñas secuencias de péptidos de la filagrina9. 

 

Sin embargo, debido a que la filagrina es una proteína que no se encuentra presente en el tejido sinovial de las articulaciones inflamadas de los pacientes con AR, se evaluaron nuevos péptidos, los cuales, se hicieron cíclicos con el propósito de exponer al máximo la citrulina y asegurar un mayor reconocimiento de los anticuerpos, estas modificaciones aumentaron la sensibilidad de la prueba con una excelente especificidad. Actualmente a esta prueba se le conoce como: anti-péptidos cíclicos citrulinados de segunda generación (anti-CCP2) y es la prueba más utilizada para detectar Anticuerpos Contra Péptidos Citrulinados (ACPA) debido a su alta sensibilidad y especificidad10.

 

Sin embargo, los ACPA son un grupo heterogéneo de autoanticuerpos que reconocen múltiples proteínas citrulinadas, dentro de esta familia se encuentran los anticuerpos: anti-APF, anticuerpos anti-queratina, anti-Sa, anti-CCP y anti-MCV. Aunque los anticuerpos anti-CCP2 son los más utilizados de manera rutinaria por los laboratorios para la detección de ACPA, existe un porcentaje de pacientes con AR que son negativos a estos anticuerpos, por esta razón numerosos estudios se han enfocado en la detección e identificación de autoanticuerpos contra proteínas citrulinadas presentes en tejidos sinoviales que sean útiles en el diagnóstico de AR.  Se han identificado varias proteínas como antígenos importantes entre ellas: fibrina, fibronectina, α-enolasa, colágeno tipo I, colágeno tipo II, histonas y vimentina.

 

Anticuerpos Anti-Vimentina Citrulinada Mutada (Anti-MCV)

 

En 1994 se descubrieron los anticuerpos anti-Sa como un nuevo miembro de la familia ACPA en el suero de pacientes con AR, estudios posteriores demostraron que la vimentina citrulinada es el antígeno reconocido por estos autoanticuerpos y aunque demostraron ser muy específicos de la enfermedad su sensibilidad fue baja, por esta razón tampoco se utilizan de manera rutinaria en el diagnóstico de AR11. Sin embargo, la vimentina se convirtió en un autoantígeno importante ya que es una proteína que es detectada en el tejido sinovial de las articulaciones inflamadas de estos pacientes y además, se ha demostrado que es secretada por los macrófagos, los cuales, tienen un papel importante en la patogénesis de la enfermedad12,13. 

 

En 2007 Bang y colaboradores identificaron una isoforma de vimentina citrulinada con mutaciones en algunos aminoácidos, en el líquido sinovial de pacientes con AR, los autores desarrollaron un ELISA para la detección de autoanticuerpos contra esta nueva forma mutada citrulinada de la vimentina (Anti-MCV) y encontraron que los anticuerpos Anti-MCV mostraron una sensibilidad superior y una especificidad similar a la de los anticuerpos Anti-CCP214. Diversos estudios también han demostrado una sensibilidad y especificidad comparables de los anticuerpos Anti-MCV comparados con los Anti-CCP2.

 

La consistente especificidad en los diversos estudios de los Anti-MCV sugieren que son un marcador robusto para el diagnóstico de AR, por otro lado, las variantes en sensibilidad reportadas en los distintos estudios podrían indicar diferencias potenciales en las cohortes de pacientes utilizadas o una posible diferencia debido a las características de las pruebas utilizadas para detectar estos anticuerpos, sin embargo, esto debe ser explorado más a fondo15,16,17.

El diagnóstico temprano de AR es de suma importancia, ya que permite al médico  brindar  al paciente el adecuado tratamiento para evitar 

Anti-MCV tienen una gran importancia en el diagnóstico temprano de esta enfermedad, un estudio que utilizó una cohorte de pacientes con AR temprana encontró que 40 de 115 pacientes negativos a CCP fueron positivos a Anti-MCV, esto demuestra la gran importancia de estos anticuerpos como una herramienta complementaria para asegurar el diagnóstico temprano de AR en pacientes que son negativos a anticuerpos Anti-CCP18.

 

También, se ha sugerido que los anticuerpos Anti-MCV pueden estar relacionados con el daño del hueso en AR, ya que son capaces de aumentar la diferenciación  de precursores de osteoclastos a células maduras, las cuales, son responsables de la resorción del hueso, además, se ha demostrado que los anticuerpos Anti-MCV aumentan la resorción del hueso tanto in vitro como in vivo, lo cual, es un fenómeno comúnmente observado en los pacientes con AR19. 

 

Todos estos hallazgos sugieren a los anticuerpos Anti-MCV como un nuevo biomarcador en AR, los cuales, pueden ser utilizados como herramienta diagnóstica sobre todo en pacientes seronegativos a FR y Anti-CCP.

 

Importancia de los ACPA en Artritis Reumatoide

 

En 2010 el Colegio Americano de Reumatología (ACR) y la Liga Europea contra el Reumatismo (EULAR) emitieron nuevos criterios de clasificación para seleccionar pacientes que puedan participar en estudios de investigación clínica, dichos criterios representan un avance importante en AR ya que por primera vez los ACPA fueron incluidos, lo cual, reafirma su importancia como biomarcadores específicos de esta enfermedad. Es importante recalcar que dichos criterios mencionan a los ACPA y no únicamente a los Anti-CCP2 como criterios de selección, aunque los Anti-CCP2 son los anticuerpos más comúnmente utilizados para la detección de ACPA existe un porcentaje de pacientes con AR que son negativos para estos anticuerpos, lo cual, abre una ventana de oportunidad para los nuevos biomarcadores como los anticuerpos Anti-MCV en el diagnóstico de esta enfermedad20.

 

La importancia de los ACPA no radica únicamente como criterios de diagnósticos o para seleccionar pacientes para estudios de investigación clínica, las recomendaciones para la evaluación y el monitoreo de enfermedad pulmonar intersticial en pacientes con enfermedades reumáticas autoinmunes publicadas en 2022, consideran los ACPA especialmente en títulos altos como un factor predictivo para el desarrollo de fibrosis pulmonar, esto es muy importante ya que aproximadamente un tercio de los pacientes con AR desarrollarán esta afección, lo cual, afectará significativamente su calidad de vida. Adicionalmente, las recomendaciones para el manejo de artritis reumatoide con fármacos sintéticos y biológicos emitidas por EULAR en 2022, han incluido a los ACPA como un factor de mal pronóstico que forma parte de los criterios de decisión en el tratamiento farmacológico de estos pacientes20,21.

 

Todos estos datos en conjunto demuestran la gran importancia que tiene la detección temprana de ACPA por el laboratorio clínico ya que brindan al médico una herramienta oportuna para el diagnóstico y pronóstico, además, de la toma de decisiones en el tratamiento de los pacientes con AR. Por ello es de suma importancia que los laboratorios clínicos realicen la detección de estos autoanticuerpos como apoyo para el diagnóstico temprano de AR.

Bibliografía

1. van Delft, M. A. M., & Huizinga, T. W. J. (2020). An overview of autoantibodies in rheumatoid arthritis. Journal of autoimmunity, 110, 102392. https://doi.org/10.1016/j.jaut.2019.102392

2. Smolen, J. S., Aletaha, D., & McInnes, I. B. (2016). Rheumatoid arthritis. Lancet (London, England), 388(10055), 2023–2038. https://doi.org/10.1016/S0140-6736(16)30173-8

3. Newkirk M. M. (2002). Rheumatoid factors: what do they tell us?. The Journal of rheumatology, 29(10), 2034–2040.

4. NIENHUIS, R. L., & MANDEMA, E. (1964). A NEW SERUM FACTOR IN PATIENTS WITH RHEUMATOID ARTHRITIS; THE ANTIPERINUCLEAR FACTOR. Annals of the rheumatic diseases, 23(4), 302–305.
https://doi.org/10.1136/ard.23.4.302

5. Young, B. J., Mallya, R. K., Leslie, R. D., Clark, C. J., & Hamblin, T. J. (1979). Anti-keratin antibodies in rheumatoid arthritis. British medical journal, 2(6182), 97–99. https://doi.org/10.1136/bmj.2.6182.97

6. Sebbag, M., Simon, M., Vincent, C., Masson-Bessière, C., Girbal, E., Durieux, J. J., & Serre, G. (1995). The antiperinuclear factor and the so-called antikeratin antibodies are the same rheumatoid arthritis-specific autoantibodies. The Journal of clinical investigation, 95(6), 2672–2679. https://doi.org/10.1172/JCI117969

7. van Venrooij, W. J., & Pruijn, G. J. (2014). How citrullination invaded rheumatoid arthritis research. Arthritis research & therapy, 16(1), 103. https://doi.org/10.1186/ar4458

8. Palosuo, T., Lukka, M., Alenius, H., Kalkkinen, N., Aho, K., Kurki, P., Heikkilä, R., Nykänen, M., & von Essen, R. (1998). Purification of filaggrin from human epidermis and measurement of antifilaggrin autoantibodies in sera from patients with rheumatoid arthritis by an enzyme-linked immunosorbent assay. International archives of allergy and immunology, 115(4), 294–302. https://doi.org/10.1159/000069460

9. Schellekens, G. A., de Jong, B. A., van den Hoogen, F. H., van de Putte, L. B., & van Venrooij, W. J. (1998). Citrulline is an essential constituent of antigenic determinants recognized by rheumatoid arthritis-specific autoantibodies. The Journal of clinical investigation, 101(1), 273–281. https://doi.org/10.1172/JCI1316

10. van Venrooij, W. J., van Beers, J. J., & Pruijn, G. J. (2011). Anti-CCP antibodies: the past, the present and the future. Nature reviews. Rheumatology, 7(7), 391–398. https://doi.org/10.1038/nrrheum.2011.76

11. Vossenaar, E. R., Després, N., Lapointe, E., van der Heijden, A., Lora, M., Senshu, T., van Venrooij, W. J., & Ménard, H. A. (2004). Rheumatoid arthritis specific anti-Sa antibodies target citrullinated vimentin. Arthritis research & therapy, 6(2), R142–R150. https://doi.org/10.1186/ar1149

12. Mor-Vaknin, N., Punturieri, A., Sitwala, K., & Markovitz, D. M. (2003). Vimentin is secreted by activated macrophages. Nature cell biology, 5(1), 59–63. https://doi.org/10.1038/ncb898

13. Tilleman, K., Van Steendam, K., Cantaert, T., De Keyser, F., Elewaut, D., & Deforce, D. (2008). Synovial detection and autoantibody reactivity of processed citrullinated isoforms of vimentin in inflammatory arthritides. Rheumatology (Oxford, England), 47(5), 597–604. https://doi.org/10.1093/rheumatology/ken077

14. Bang, H., Egerer, K., Gauliard, A., Lüthke, K., Rudolph, P. E., Fredenhagen, G., Berg, W., Feist, E., & Burmester, G. (2007). Mutation and citrullination modifies vimentin to a novel autoantigen for rheumatoid arthritis. Arthritis & Rheumatism, 56(8), 2503–2511. https://doi.org/10.1002/art.22817

15. Mathsson, L., Mullazehi, M., Wick, M. C., Sjöberg, O., van Vollenhoven, R., Klareskog, L., & Rönnelid, J. (2008). Antibodies against citrullinated vimentin in rheumatoid arthritis: higher sensitivity and extended prognostic value concerning future radiographic progression as compared with antibodies against cyclic citrullinated peptides. Arthritis and rheumatism, 58(1), 36–45. https://doi.org/10.1002/art.23188

16. Mohammed, H. S., Ahmed, G. H., Tawfik, N. M., Sayed, S. K., & Ahmed, A. S. (2023). Anti-mutated citrullinated vimentin antibodies in rheumatoid arthritis; diagnostic utility and association with deformities and disease activity. The Egyptian journal of immunology, 30(1), 105–115.

17. Díaz-Toscano, M. L., Olivas-Flores, E. M., Zavaleta-Muñiz, S. A., Gamez-Nava, J. I., Cardona-Muñoz, E. G., Ponce-Guarneros, M., Castro-Contreras, U., Nava, A., Salazar-Paramo, M., Celis, A., Fajardo-Robledo, N. S., Corona-Sanchez, E. G., & Gonzalez-Lopez, L. (2014). Comparison of two assays to determine anti-citrullinated peptide antibodies in rheumatoid arthritis in relation to other chronic inflammatory rheumatic diseases: assaying anti-modified citrullinated vimentin antibodies adds value to second-generation anti-citrullinated cyclic peptides testing. BioMed research international, 2014, 198198. https://doi.org/10.1155/2014/198198

18. Harre, U., Georgess, D., Bang, H., Bozec, A., Axmann, R., Ossipova, E., Jakobsson, P. J., Baum, W., Nimmerjahn, F., Szarka, E., Sarmay, G., Krumbholz, G., Neumann, E., Toes, R., Scherer, H. U., Catrina, A. I., Klareskog, L., Jurdic, P., & Schett, G. (2012). Induction of osteoclastogenesis and bone loss by human autoantibodies against citrullinated vimentin. The Journal of clinical investigation, 122(5), 1791–1802. https://doi.org/10.1172/JCI60975

19. Aletaha, D., Neogi, T., Silman, A. J., Funovits, J., Felson, D. T., Bingham, C. O., 3rd, Birnbaum, N. S., Burmester, G. R., Bykerk, V. P., Cohen, M. D., Combe, B., Costenbader, K. H., Dougados, M., Emery, P., Ferraccioli, G., Hazes, J. M., Hobbs, K., Huizinga, T. W., Kavanaugh, A., Kay, J., … Hawker, G. (2010). 2010 Rheumatoid arthritis classification criteria: an American College of Rheumatology/European League Against Rheumatism collaborative initiative. Arthritis and rheumatism, 62(9), 2569–2581. https://doi.org/10.1002/art.27584

20. Johnson, S. R., Bernstein, E. J., Bolster, M. B., Chung, J. H., Danoff, S. K., George, M. D., Khanna, D., Guyatt, G., Mirza, R. D., Aggarwal, R., Allen, A., Jr, Assassi, S., Buckley, L., Chami, H. A., Corwin, D. S., Dellaripa, P. F., Domsic, R. T., Doyle, T. J., Falardeau, C. M., Frech, T. M., … Ivlev, I. (2024). 2023 American College of Rheumatology (ACR)/American College of Chest Physicians (CHEST) Guideline for the Screening and Monitoring of Interstitial Lung Disease in People with Systemic Autoimmune Rheumatic Diseases. Arthritis & rheumatology (Hoboken, N.J.), 76(8), 1201–1213. https://doi.org/10.1002/art.42860

21. Smolen, J. S., Landewé, R. B. M., Bergstra, S. A., Kerschbaumer, A., Sepriano, A., Aletaha, D., Caporali, R., Edwards, C. J., Hyrich, K. L., Pope, J. E., de Souza, S., Stamm, T. A., Takeuchi, T., Verschueren, P., Winthrop, K. L., Balsa, A., Bathon, J. M., Buch, M. H., Burmester, G. R., Buttgereit, F., … van der Heijde, D. (2023). EULAR recommendations for the management of rheumatoid arthritis with synthetic and biological disease-modifying antirheumatic drugs: 2022 update. Annals of the rheumatic diseases, 82(1), 3–18. https://doi.org/10.1136/ard-2022-223356